插入式流量計的原理與分類
點擊次數:3788 發布時間:2020-04-25 08:13:33
按照流量計的工作原理來分類說明不同,插入式流量計是一類按結構形式劃分的流量計,它包括工作原理不同的各種流量計。之所以這樣分類,是由于插入式流量計在使用中有一些共同的特點,而正是這些特點促使插入式流量計近年來有了較大的發展,并且從整個流量計的發展趨勢看,它有強大的生命力,在眾多的流量計中占有重要的位置。
1、插入式流量計的分類
目前已經推廣使用的插入式流量計已有多種型式,按插入式流量計檢測頭的工作原理可以分成插入式渦輪、插入式渦街、插入式電磁、均速管和熱式流量計等;按插入式流量計的測點數可分為點流型和徑流型兩大類。
1)點流型插入式流量計
點流型插入式流量計包括插入渦輪、插入渦街、插入電磁流量計、靶式流量計及皮托管等。此類流量計實際上是一臺流速計,它測量管道中某特定位置的局部流速,然后根據管道內的流速分布及儀表和管道的幾何參數等推算出流量值。
由于靶式流量計往往將檢測頭和測量管做成一體型流量計.并通過測量由于靶前后的差壓引起的靶受力來測量流量、有自己的流量系數,而且測量靶有較大的幾何尺寸.并不是測量一點的流速,所以人們一般不將靶式流量計歸在插入式流量計的范疇.而作為差壓式流量計的一種加以討論。但從結構上看,它也屬于一種插入式流量計,管道中的流速分布對測量有較大的影響。
2)徑流型插人式流量計
徑流型插入式流量計根據管道直徑上流速的綜合值來推算流量值。它包括均速管流量計、多點插入型熱式質量流量計,均速管型插入式電磁流量計及渦街流量計等。與上述同樣的原因,渦街流量計雖然在結構上是插入式儀表,但由于其儀表特性和使用特點與大多數插入式流量計有較大的差別,而且,渦街流量傳感器一般都做成帶測量短管的形式,直接輸出與流量成正比的頻率信號.結構上并不能將旋渦發生體自由地插入或卸出,所以一般并不將渦街流量計作為插入式流量計的一個品種來討論。
2、插入式流量計的測量原理
1)點流型插入式流量計的測量原理
點流型插入式流量傳感器的結構如圖11-1所示。

它由測量頭、插入桿、插入機構、轉換器和測量管道等幾個組件構成。使用時將測量頭插入到管道中某特定位置(一般為管道軸線處或管道平均流速處),測量該處的局部流速,然后根據管內流速分布和儀表與管道的幾何參數等推算得到流過管道的流量值。

它由測量頭、插入桿、插入機構、轉換器和測量管道等幾個組件構成。使用時將測量頭插入到管道中某特定位置(一般為管道軸線處或管道平均流速處),測量該處的局部流速,然后根據管內流速分布和儀表與管道的幾何參數等推算得到流過管道的流量值。
對于點流型插入式流量計來說,由于測量頭只測量管道中的一點流速,要根據一點的流速來推知管道內的平均流速顯然會有很大的困難,管內的流速分布及平均流速位置將對測量結果有很大的影響。下面對頻率信號輸出型測量頭和模擬信號輸出型測量頭等幾種不同類型的插入式流量計來討論點流型插入式流量計的測量原理。
(1)頻率信號輸出型測量頭
使用頻率信號輸出測量頭的插入式流量計有插入式渦輪和插入式渦街流量計,其流量計算公式為
qv=f/k
式中qv是體積流量(m3/s);f是流量計頻率輸出信號(Hz);K是流量計儀表系數(1/m3)。
流量計儀表系數K的計算公式為

式中,Ko是測量頭的儀表系數(1/m);a是速度分布系數,它是管道內平均流速與測量頭處流速的比值,用來修正由于測量頭處的流速與管內平均流速的差異造成的影響;β是阻塞系數,用來修正由于插入桿和測量頭引起的管道流通面積減小及管內速度分布畸變所造成的影響。γ是干擾系數,主要用來修正由于上游阻流件所引起的速度分布畸變以及管道所開窗口帶來的影響。A是測量管橫截面積,m2。
(2)模擬信號輸出型測量頭
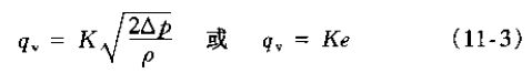
使用模擬信號輸出測量頭的插入式流量計有皮托管(輸出差壓信號,經差壓變送器后為電流信號輸出)和插入式電磁流量計(輸出電勢信號),其流量計算公式為

式中,K是流量計的流量系數,

Kv是測量頭的流速系數,

△p是皮托管輸出差壓信號(Pa);e是插入電磁輸出電勢信號(V);ρ是被測介質密度(kg/m3)。
2)點流型插入式流量計有關系數的確定
(1)流量計速度分布系數a的確定速度分布系數a是管道平均流速與測量頭所處位置局部流速之比。它限管內流體速度分布形式有極大的關系。
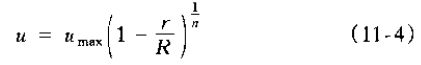
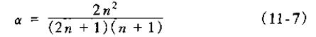
a、對于光滑管道.在充分發展紊流條件下,管內流速分布的*簡單公式是指數公式

式中,指數n是一個與雷諾數Re有關的數,一般可用n-1.56lg Re來表示
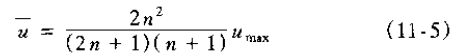
對于這樣的速度分布,其平均流速

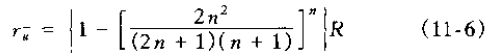
平均流速所在位置為

所以,如果測量頭插到軸線處,則速度分布系數

如果測量頭插到管道平均流速處,則速度分布系數a=1。
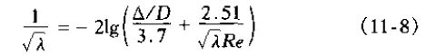
b、對于粗糙管道,管內流速分布除與雷諾數有關外,還與管道壁面的相對粗糙度△/D的關系可用科爾布魯克(Colebrook)公式來表示

由于上式為一非顯示方程,應用迭代法求解。初始值λ0按下式估計時,一次牛頓迭代獲得的結果在±0.01%之內。

Teyssandier根據Pai速度分布公式求得用于粗糙管平均流速

所以,如果測*頭插到軸線處,則速度分布系數a用下式近似地表示,可獲得較高的測量精度。

如果測量頭插到管道平均流速處,則速度分布系數a=1。
根據式11-7和式11-11計算得到的結果列于表11-1所示,a的變化趨勢如圖11-2所示。




下一篇:插入式流量計的安裝使用


