差壓式流量計標準節流件裝置
點擊次數:6746 發布時間:2020-04-25 02:43:44
標準節流裝置由標準節流件,符合標準的取壓裝置和節流件前后直管段三部分組成。全套標準節流裝置的組成如圖3-4所示。


目前,國際標準已作規定的標準節流裝置有以下幾種。
1)角接取壓標準孔板;
2)法蘭取壓標準孔板流量計;
3)D-D/2取壓標準孔板;
4)角接取壓標準噴嘴;
5)D-D/2取壓長徑噴嘴;
6)經典文丘里管;
7)文丘里噴嘴。
我國**標準GB/T2624-1993已對上述全部標準節流裝置作了規定,對老**標準GB2624-1981進行了較大的修改,詳細規范了標準節流裝置的各個組成部分,使之
更能滿足我國工業生產的需要,更好地與國際接軌。
**標準目前已經規定的標準節流件有標準孔板、標準噴嘴(ISA1932噴嘴)、長徑噴嘴、文丘里管及文丘里噴嘴。對節流件的形狀,結構參數以及使用范圍做了嚴
格的規定。
1、標準孔板
標準孔板是一塊具有圓形開孔、與管道同心、直角入口邊緣非常銳利的薄板。用于不同的管道內徑和各種取壓方式的標準孔板,其幾何形狀都是相似的。孔板的軸
向截面如圖3-5所示。

對圖中A、B、E、e、F、G(H和I)及d的要求,標準中均有具體規定。

對圖中A、B、E、e、F、G(H和I)及d的要求,標準中均有具體規定。
(1)上下游端面的粗糙度A、B上游端面A的粗糙度高度參數Ra應小于0.0001d。下游端面B應與A面嚴格保持平行,面粗糙度可較A面稍低。
(2)孔板厚度E和節流孔厚度e節流孔厚度e應滿足0.005D≤e≤0.02D。在任意兩點上測得的e值之差不得超過0.001D,其表面粗糙度高度參數同A面。
孔板厚度E應在e和0.05D之間,當50≤D≤64時,允許E=3.2mm。在孔板任意點上測得的E值之差不得大于0.001D。
(3)孔板邊緣尖銳度G、H和I上游入口邊緣G和下游邊緣H、I應無劃痕和毛刺。尤其是對于影響流出系數較大的上游邊緣G,要求加工精度高,邊緣是尖銳的。若直
角入口邊緣成圓弧,則其圓弧半徑rk應不大于0.0004d。如果孔板厚度E〉e,則孔的下游端應做成表面光滑的傾斜面,傾斜角F為45°±15°。表面粗糙度應達到上
游端面A的水平。
(4)節流孔的圓度孔板開孔為正圓,任何情況下。孔徑d不小于12.5mm,其軸線應垂直于上游端面A。孔徑是不少于四個單測值的算術平均值,這四個單測值應均勻
分布,而任意單測值與平均值之差不得超過±0.05%d。
2、標準噴嘴(ISA1932噴嘴)
標準噴嘴由兩個圓弧曲面構成的入口收縮部分和與之相接的圓柱形喉部組成。用于不同管道內徑的標準噴嘴,其結構形狀是幾何相似的。標準噴嘴的軸向截面如圖
3-6所示。對標準噴嘴的各部分尺寸標準有嚴格的規定。
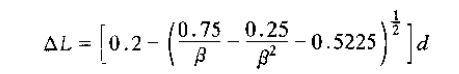
(1)入口平面A入口平面A是軸線為圓心,直徑為1.5d的圓周和直徑為管道內徑D的圓周所圍成的環形平面,環寬為1/2(D-1.5d),表面粗糙度高度參數Ra不得大于
0.0001d。當β=2/3時,環形寬度將為零。當β〉2/3時,直徑為1.5d的圓周將大于管道內徑D所形成的圓周,此時應該將噴嘴上游側端面切去一段△L,使平面部分A
的*小直徑恰好等于管道內徑D,如圖3-6b所示。切去部分的軸向長度為

(2)進口圓弧面B和C B和C和C是噴嘴收縮段的*一段圓弧形曲面和*二段圓弧形曲面,B面分別與端面A和C面相切,半徑為R1,C面分別與B面和圓柱形喉部相切,
半徑為R2。各半徑的值及其圓心都有明確的規定。
(3)圓柱形喉部E圓柱中心與管道中心重合,直徑為d,圓柱形長度為0.3d。d由不少于4個單測值的算術平均值求得,4個單測值應均勻分布,每個單測值與平均值
之差應不超過±0.5%d。


由B、C曲面構成的噴嘴收縮段輪廓必須用樣板檢查。在垂直軸線的同一平面內,任意兩個直徑之差應不超過它們平均值的0.1%。噴嘴內表面應全部光滑,表面粗糙
度高度參數R不大于0.0001d。
(4)泥漿流量計出口邊緣f和保護槽F 噴嘴出口邊緣f應保持尖銳,無明顯倒角。保護槽F主要用來保護出口邊緣f的尖銳度。保護槽直徑c應不小于1.06d,軸向長度小于或等于
0.03d,高度為(c-d)/2.
(5)噴嘴軸向長度不包括出口邊緣保護槽F的長度,噴嘴總長度為0.30≤β≤2/3時,總長為0.6041d


3、長徑噴嘴
長徑噴嘴有兩種形式:一種為高比值噴嘴(0.25≤β≤0.80);一種為低比值噴嘴(0.2≤β≤0.5)。重合區域,兩者均可使用。其軸向截面如圖3-7所示。

高比值噴嘴的收縮段是一個1/4橢圓旋轉曲面A。橢圓中心距管道軸線為D/2,其長軸平行于管道軸線,長半軸為D/2,短半軸為(D-d)/2。喉部是直徑為d的圓柱面B
,長度為0.6d。管道內壁與喉部外表面的距離應大于或等于3mm,入口端面厚度H應大于等于3mm,并小于等于0.15D。喉部壁面厚度F在3-13mm之間。
低比值噴嘴與高比值噴嘴類似,只是入口型線不同,其橢圓中心在距管道軸線7d/6處,長軸平均于軸線,長半軸為d,短半軸為2d/3。
4、文丘里管
標準文丘里管也分兩種形式:一種為經典文丘里管或簡稱文丘里管;另一種為文丘里噴嘴,每一種又分長、短兩種。
(1)經典文丘里管 經典文丘里管由入口圓柱段A、圓錐收縮段B、圓柱形喉部C以及圓錐擴散段E組成,如圖3-8所示。其內表面是一個對稱于管道軸線的旋轉表面。
按照經典文丘里管的圓錐收縮段B內表面的制造方法和喉部的相交處廓形,經典文丘里管可分為三種形式:


1)粗鑄收縮段文丘里管。它是采用澆鑄或其他方法制成的,喉部經過機械加工,圓筒與圓錐之間結合處應修圓。
2)加工收縮段文丘里管。其收縮段和喉部與入口圓筒段那樣進行機械加工,圓筒與圓錐之間的結合處可以修圓,也可以不修圓。
3)粗焊鐵板收縮段文丘里管。它一般是焊接制成的,大尺寸不用機械加工,小尺寸喉部需要機械加工。
經典文丘里管入口段A的直徑和管道內徑D相同,該段上開有取壓孔,長度一般取D,僅對粗鑄收縮段取D和0.25D+250mm中的較小者。直徑D的單測值與平均值之差不
超過±0.4%。圓錐形收縮段B、圓柱形喉部C及擴散段E的尺寸和錐角如圖所示,喉部直徑d的單測值與平均值之差不應大于±0.1%。擴散段E的*小端直徑不小于喉部
直徑d,*大端直徑可等于或小于管道內徑D。前者為非截頭式,后者為截頭式文丘里管。
(2)文丘里噴嘴 文丘里噴嘴由收縮段、圓筒形喉部和擴散段構成。入口收縮段與標準噴嘴完全相同,喉部由長度為0.3d(與標準噴嘴的E長度相同)和長度為
(0.4-0.45)d的圓柱段組成。其上開有負壓取壓孔。擴散段與喉部的連接不必圓滑過度,擴散角(30°)和擴散段的長度對流出系數的影響不大,只影響壓力損失
,因此,可像文丘里管一樣將其截短,如圖3-9所示。


上一篇:差壓式流量計測量原理與流動情況
下一篇:電磁流量計的基本概述及優點


